这样的论文看着不困。
用科学的方法探讨游戏中的现象究竟会得到怎样的结果?
最近有人发现,一位名叫Osarenkhoe Ogbeide的莱斯特大学研究生在2015年撰写过一篇名为《旋风脚》的论文,一本正经的讨论了街头霸王系列中隆的旋风脚在现实中的可行性。
	 
首先,论文提出旋风脚存在的两种模式,一种原地悬停式,一种向前移动式,而此论文要研究的是第二种情况。
隆在使用旋风脚时是可以在空中悬浮一段时间的,且可以在一定高度上平移一段距离,此时他显然不只受到重力的影响。唯一的解释是,旋风脚产生的升力抵消了隆的重力。
如果旋风脚能向直升机一样让隆悬浮,也就同时能够提供向前移动的动力了。
	 
于是Osarenkhoe Ogbeide开始利用单翼螺旋桨升力的数学模型计算隆的移动速度。
根据公式,升力和真实空速、空气密度、螺旋桨长度、攻角等参数有关,假设隆的体重为英国男性平均体重83.6kg,如果要实现浮空要产生820.1牛的升力。
	 
取隆的腿长为螺旋桨长度,攻角5度,空气密度为标准值。这样计算出来的移动速度为30 m/s。
也就是说,隆如果要使出旋风脚,他至少要以108km/h的速度向前移动,这个速度远超博尔特的最高时速43km/h,接近我国高速公路的最高限速。
最终论文得出结论,隆的旋风脚对于人类来说几乎是不可能完成的。
	 
作者Osarenkhoe Ogbeide本人自称是个重度的游戏玩家,这个选题是他在一次在玩街霸的时候突然想到的,因为他觉得隆的旋风脚有些违背物理常识,因此突发奇想打算验证一下它在现实中的可能性。
除了研究旋风脚,他还做过其他类似的研究。在另一篇论文中,他还讨论了《上古卷轴5:天际》里的龙吼到底能传播多远的课题。
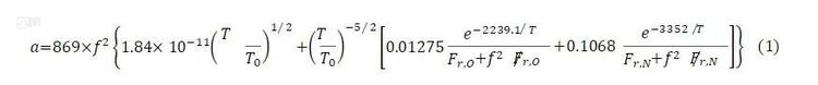
他发现,在游戏中有一个龙吼可以在天际的任何地方召唤出红龙“傲达威英”,简介是“傲达威英!闻声前来”,也就是说龙吼的声音至少应该可以横跨整个天际,传到龙的耳朵里。他利用科学对这一技能的可行性进行了验证。
	 
声音是随传播距离的增加而衰减的,衰减系数a与湿度h、温度T、频率f相关。
	 
根据英国当地的湿度、温度平均值,以及男、女声音的频率代入公式中。得到女性声音的衰减系数为0.1975 dB/100m,男性声音的衰减系数0.1467 dB/100m。
人类能听清的最小音量在20分贝左右,如果以现有记载的人类能发出的最大音量129分贝作为喊声的初始音量,女性发出的喊声衰减到20分贝时,传播距离大约只有108米左右,男性大约有146米。
	 
而天际的面积大约是40平方公里,如果假设这是一个正方形的地图,最长的对角线约为6.32千米。如果要让龙吼能传播这个距离的话,女性角色的吼声必须达到3.29X1048分贝,男性的吼声要达到2.27x1036分贝。
相比之下70米外1吨TNT爆炸的声响大概只有210分贝。所以这种毁天灭地的龙吼基本上是不现实的,更可能的一种解释是龙能够听到低至7.84x10-46 分贝的声音,这种情况下正常人的喊声在经过6千米的传播后依然能够被听到。
	 
Osarenkhoe Ogbeide说这些论文主要是用来让学生们熟悉论文的同行评审过程的,因此发布的期刊不要求进行实际的实验。所以他可以在这里探讨一些个人感兴趣,但在现实中无法验证的问题。
如今他已经研究生毕业,继续到剑桥大学攻读博士。在这里他也没有忘记游戏,他目前主要研究的是3D打印材料,他自己制造出的第一个成品,是一个皮卡丘的模型。
他说自己喜欢把研究的项目和兴趣相靠拢,这样会让研究过程容易很多。他把自己的工作看作是和制作同人作品一样的过程,都是因为热爱而生,最后产生了娱乐性的结果。
        
        
            
                    
                    
                            
                                
                                